2. 中国地质科学院国家地质实验测试中心,北京100037;
3. 陕西省地质调查院,陕西 西安 710054
2. National Research Center for Geoanalysis, Chinese Academy of Geological Sciences, Beijing, 100037 China;
3. Shaanxi Institute of Geological Survey, Xi'an 710054, Shaanxi, China
[Objective] The uptake and accumulation of selenium in rice grain is determined by the bioavailability of selenium in paddy soils, which can be directly affected by its speciation pattern.In this study, the selenium speciation in soils from the west of Ankang City, Shaanxi province was analyzed to investigate the correlation of selenium content in rice grain with the speciation pattern of selenium in soils. [Methods] The distribution characteristics of seleniumspeciation in soils was examined by analyzing the concentrations of selenium in soils and rice grain. [Results] The concentrations of speciation fractions varied significantly. Detailedly, the humic acid boundfraction of selenium accounted for more than 90% of the total content, whereas the water-solublefraction, ion-exchangeable fraction, manganese oxides fraction and carbonate bounded fraction occupied less than 5%. This study observed a tight relationship between the rice uptake of selenium and its concentration ofwater-soluble fraction andion-exchangeable fraction in paddy soils, which was consistent with the results found in previous studiesand will provide fundamental basis for the development of selenium-rich rice. The average concentration of selenium in rice grainwas 0.20 mg/kg, which met the national standard. [Conclusions] The enrichment degree of selenium in paddy soils from the study area was high. This caused the relative accumulation of selenium in rice grain, which met the national standard. This study reveals broad prospects in the development of selenium-rich rice.
硒是人体和动物必需的微量元素(Mao et al., 2014),人体硒摄入不足将会导致一些地方性流行病如克山病和大骨节病(Shi et al., 2017)。据统计,全球有40多个国家缺硒,中国有72%的地区处于低硒和缺硒状态,存在居民普遍缺硒状况(Quang et al., 2018)。研究认为土壤是人和动物体内硒的主要来源,而植物是土壤硒元素的重要吸收者和转移者,人体通过富硒农产品摄入硒元素(Li et al., 2018; Jia et al., 2019; Peng et al., 2019)。相比于土壤外源施硒,在天然富硒土壤上种植农作物则既能够保证作物正常生长,同时又减少了富硒农产品的生产成本(廖启林等,2016);近年来国内外的成功案例表明,硒对于植物的生长具有重要意义,施硒可增强植株的抗氧化性和抗逆性,促进植物的生长,对天然富硒土壤种植的富硒农产品进行开发,有利于安全有效地改善居民贫硒现状(Banuelos et al., 2015;杨奎等,2018)。但是,目前使用土壤总硒含量来评估硒的生物可利用性并不准确,植物所吸收利用的是土壤中有效态的硒(余涛等,2018),研究显示,与土壤结合强度越大,硒的有效性越低(Xiao et al., 2020)。小麦对土壤有机硒的吸收速率是硒酸盐的100倍以上(Kikkert et al., 2013),而玉米组织中硒含量与土壤中水溶态硒、有机结合态硒之间存在显著的正相关关系(Wang et al., 2012)。硒元素的迁移转化还受到土壤理化性质、土壤类型、成土母质和土地耕作利用方式的影响(Supriatin et al., 2015; Jones et al., 2017)。因此,研究土壤中硒的形态分布特征,对开发富硒农产品具有重要意义。
陕西省安康市西部的汉阴县和紫阳县属天然的土壤富硒地区,土壤硒平均含量为(5.70±13.31)mg/kg,是世界土壤硒背景值的14.3倍(廖启林等,2016)。该地区硒储存量丰富,含量适宜,分布于岩土、地下水以及动植物体内(Banuelos et al., 2015)。植物是硒生态循环过程中的中间环节,也是人和动物摄入硒的主要直接来源(黄太庆等,2017),水稻通过吸收土壤中的硒,含硒量高达2.5~6.9 mg/kg,具有广阔的开发前景(杨奎等,2018)。作为中国重要的粮食作物,水稻是改善中国人体膳食硒营养的主要途径(Banuelos et al., 2015),最理想的策略就是增加水稻可食部分硒含量,因此,研究提高水稻籽实中的硒含量具有重要意义。
本研究通过对陕西省安康市西部汉阴和紫阳县的稻田土壤中硒元素的地球化学特征进行研究,对富硒土壤中硒的赋存状态与水稻中硒的富集特点进行分析,为当地更好地开发富硒土壤资源,富硒水稻的种植开发提供理论参考。
2 材料与方法 2.1 研究区概况本研究区包括陕西省紫阳县和汉阴县,隶属陕西省安康市,地处陕西省东南部边陲,为陕、川、渝几界交汇结合部。地势高低起伏,西南高、东北低,万山综错,河溪密布,夹杂少量的浅山丘陵和小川道。研究区矿产资源充足,紫阳县境内的毒重石矿床在国内具有十分重要的工业价值(雒昆利等,1995)。研究区下寒武统地层中下部为鲁家坪组,上部为箭竹坝组,硒含量较高。鲁家坪组为一套轻变质的浅海相沉积建造,厚700~900 m,主要岩石类型为黑色炭质板岩和黑色含硅炭板岩,夹有石煤、黄铁矿层,该组地层中黑色板岩和石煤中较为富硒,多数在4~10 mg/kg,部分层位达20~40 mg/kg,总厚度为250~400 m(徐永新,2012)。根据前人对安康市土壤富硒状况的调查(廖启林等,2016),本研究在陕西省安康市西部紫阳和汉阴县域3500 km2面积内选取相对富硒土壤及水稻相对连片区域,采集了水稻籽实样品25个和对应的根系土样品25个,水稻籽实及其根系土样品采样点位见图 1。
|
图 1 研究区水稻籽实及其根系土样品采样点位图 Fig. 1 Geographic map of the sampling sites of rice seeds and root soil samples |
根系土与农作物籽实采集相配套,采集水稻籽实样品同时采集相同点位的水稻根系土。
水稻和根系土壤样品的采集:当水稻进入收获期时,在采样点地块内视在相对独立完整的地块上,按照“随机”、“等量”和“多点混合”的采样原则,根据不同情况采用棋盘法、梅花点法、对角线法、蛇形法等采集了5~10个子样。然后将水稻籽实样品等量混匀组成1个300~1000 g(干质量)混合样品,根系土壤则是将各子样等量混匀在干净的塑料布或塑料盆中,四分法获得1个湿重大于1.5 kg的混合样品。
土壤样品处理:采集的土壤样品带回实验室自然风干,碾压土块,剔除土壤以外的杂物。将风干后的样品平铺在制样板上,用木棍、塑料棍碾压静电吸附的方法将植物残体、石块等侵入体和新生体剔除干净。压碎的土样不断碾压过筛,直至全部样品通过2 mm(10目)孔径筛为止。过筛后的土壤样品,一部分留作副样,一部分装入自封袋中用于分析测试。
2.3 分析指标和方法土壤及农作物样品由陕西省地质矿产实验研究所进行实验测试,各分析实验方法的检出限均符合《土地质量地球化学评价规范》(DZ/T0295-2016)和《生态地球化学评价样品分析技术要求》(DD2005-3)要求。元素指标测试方法采用X射线荧光光谱法(XRF)、电感耦合等离子体质谱(ICP-MS)、原子荧光光谱法(AFS)、离子选择性电极法(ISE)、容量法(VOL)、电感耦合等离子体原子发射光谱(ICP-AES)。土壤及农作物样品分析指标检出限如表 1所示。
|
|
表 1 元素分析方法与检出限 Table 1 Element analysis methods and detection limit |
陕西省地质矿产实验研究所的测试结果均采用国家一级标准物质进行准确度和精密度检验,其中准确度采用RE=ΔlgC=|lgCi-lgCs|检验(C为测定值与标准值之间的差;Ci为实测含量;Cs为标准物质含量),精密度均采用RD(%)=100*|C1-C2|/(C1+C2)检验(C1为本实验中的样品测量含量;C2为内检重复性样品测量含量),其中,土壤和水稻籽实中各元素RE<5%,RD<15%,水稻根系土Se的形态分析RE<40%,RD<30%,报出率大于90%,各项分析数据均符合《生态地球化学评价样品分析技术要求》(DD2005-3)质量要求。
3 结果与讨论 3.1 土壤基本理化性质及养分含量状况研究区水稻根系土壤基本理化性质及养分含量状况如表 2。土壤pH变化范围在6.01~8.14,30%为碱性土壤,56%为微酸性土壤;土壤有机质(SOM)含量较高,变化范围为19.8~41.2 g/kg,平均含量为28.44 g/kg。
|
|
表 2 研究区水稻根系土壤基本理化性质和养分元素含量统计表(n=25) Table 2 Physical and chemical properties and soil nutrient abundances in paddysoil samples (n=25) |
将研究区水稻根系土壤元素的全量及理化性质与《土地质量地球化学评价规范》(DZ/T0295-2016)进行对比发现:研究区土壤中有机质的平均含量为2.84%,含量适中;速效氮、速效钾和速效磷的平均含量分别为88.57 mg/kg、79.73 mg/kg、9.45 mg/kg,含量稍缺,属于四级土壤,但也十分接近三级标准。
3.2 土壤硒含量及其形态特征 3.2.1 土壤全硒含量该研究区的水稻根系土壤全硒含量(记为Sesoil,下同)范围为0.24~5.91 mg/kg,平均含量1.60 mg/kg,远高于陕西省硒的土壤背景值0.357 mg/kg和全国硒土壤背景值0.290 mg/kg;变异系数为0.94,在研究区内硒的含量变化较大,地球化学分区明显。根据《土地质量地球化学评价规范》(DZ/T0295-2016)对研究区土壤富硒状况进行统计,如图 2所示:在研究区采集的样品中,所有的样品均高于0.175 mg/kg,达到足硒状态,其中92%的样品高于0.40 mg/kg,属于富硒土壤,说明研究区土壤十分富硒,具有广阔的开发前景。
|
图 2 研究区土壤富硒状况统计图 Fig. 2 Distribution of soil selenium in the study area |
将土壤中的养分含量与Sesoil进行相关性分析,如表 3所示,与全硫(r=0.442, p<0.05)和全磷(r=0.712, p<0.01)含量呈现显著正相关,而与土壤pH、SOM、全氮及全铁、全钾、锰等元素含量均不相关,研究区土壤呈现出高硒伴随高含量全硫、全磷的特征。
|
|
表 3 水稻根系土样品硒含量与养分元素含量相关性系数(n=25) Table 3 Pearson's correlation coefficient of selenium and nutrient elements content in paddy soils (n=25) |
土壤全硒含量的高低并不能全面地反映土壤中硒的生物有效性,有效硒的含量主要取决于土壤中硒的赋存状态(Qin et al., 2017)。许多学者的研究显示土壤中有效硒的含量与水溶态硒的含量具有明显的正相关关系,这是土壤硒的有效性的重要评价指标之一(Piñeiro et al., 2017; Rohn et al., 2018; Saeedeh et al., 2018; Yoshida et al., 2018)。通过对所有的水稻根系土壤样品中全量硒及水溶态、离子交换态、碳酸盐态、腐殖酸态、铁锰结合态、强有机态和残渣态七种不同形态硒的含量进行测定,结果表明:七种不同形态硒的含量都随着全硒含量的变化而变化,这是因为土壤中各种不同形态的硒都来源于全硒,土壤中全量硒的含量增加,其他各种形态的硒含量也会增加(王潇等,2019)。而由于成土母质、土壤类型、环境和人为因素的影响,各相态的硒的含量也存在差异。
对土壤中全量硒和各形态硒进行相关性分析,如表 4所示。在置信度为0.01时,七种形态的硒的含量与全量的硒呈显著的正相关关系,其中残渣态、腐殖酸态和强有机态的硒含量与全量硒含量的相关性十分显著,这说明不同形态的硒与全量硒的相关性,因形态不同而存在差异。将各形态的硒含量占总硒含量的比值作图 3,可直观地得到各形态硒在总量硒中所占比例,由此可以明显地看出各种形态硒的分布特征。
|
|
表 4 水稻根系土样品的全量硒和各形态的硒的相关性系数(n=25) Table 4 Pearson's correlation coefficient of total selenium and various forms of selenium in paddy soils (n=25) |
|
图 3 土壤中不同形态硒的分布特点 Fig. 3 Distribution of different forms of selenium in the soil |
由图 3可以看出,在水稻根系土壤中,腐殖酸态、强有机态和残渣态的硒,所占总和的比例较高,其中腐殖酸态的硒平均含量高达41.88%、强有机态的硒平均含量为24.49%、残渣态的硒平均含量为29.81%,这说明三者为土壤中硒的主要存在形态;而其他四种形态的硒平均含量所占比例较小,水溶态硒为1.25%、离子交换态为0.91%、铁锰态的硒为0.82%、碳酸盐态的硒为0.84%。据此比例,研究区土壤中各形态硒的平均含量呈现出腐殖酸态>强有机态>残渣态>水溶态>离子交换态>碳酸盐态>铁锰态的特点,研究区水稻根系土壤中硒的形态主要为腐殖酸态、强有机态和残渣态的硒。
这种形态分布与其母岩性质有关,根据雒昆利等(1995)对安康市的地质调查研究,研究区下寒武统下部为鲁家坪组,上部为箭竹坝组。鲁家坪组为一套轻变质的浅海相沉积建造,主要岩石类型为黑色炭质板岩和黑色含硅炭板岩,夹有石煤、黄铁矿层,而这些黑色板岩和石煤中较为富硒。一方面,这些硅质、炭质岩石中的硒含量相对较高,为岩石风化形成的土壤中的硒提供了丰富的物质基础;另一方面,这些岩石在风化过程中土壤基质大量淋溶,可能被黏土和其中的生物质所吸附富集,从而使来源于生物有机质的腐殖酸态的硒和强有机态的硒所占总硒的含量较高;又由于成土母质中存在一定量的难以解离状态的含硒类岩石矿物,未被风化而呈现出相对稳定的状态,所以残渣态的硒的含量也偏高。
本研究区的土壤中各形态硒的平均含量比例与湖北恩施(郭宇等,2012)土壤基本相当,但是强有机态硒的平均含量比例低于安徽庐江土壤(杨奎等,2018)。由此可见,不同地区的母岩性质不同,土壤中的矿物组成也存在差异,这会导致土壤中硒的形态差异。
将不同形态硒所占总和相对比例的变异系数由图 4列出,可发现研究区的七种形态的硒的变异系数均高于0.6,变化幅度较大。这种差异可能是由于不同的地形地貌条件和海拔高度等自然因素决定了岩石风化和淋溶的程度;而不同的土壤类型、施肥方式等对土壤的影响,也会对各种形态硒的空间分布产生一定的影响(文帮勇等,2014)。
|
图 4 不同形态硒占总量相对比例的变异系数 Fig. 4 Coefficient of variation of the relative proportion of different forms of selenium in total |
对研究区水稻籽实中的硒元素含量进行分析,水稻籽实硒含量(记为Secrop,下同)范围为0.028~1.27 mg/kg,平均含量为0.20 mg/kg。根据《富硒稻谷》(GB/T22499-2008)所要求的富硒水稻标准0.04~0.3 mg/kg,样品中88%的水稻落在此区间范围,仅有3件样品的硒的含量低于0.04 mg/kg的最低标准,但也十分接近此数值,这说明研究区绝大部分的水稻农产品符合国家富硒水稻的标准,水稻籽实中的硒含量丰富,如图 5所示,该研究区水稻农产品符合富硒水稻的标准。
|
图 5 研究区水稻籽实富硒状况统计图 Fig. 5 Distribution of rice seed selenium in the study area |
将研究区水稻籽实样品中硒的含量与样品所在的地层信息进行分析比较,如图 6所示,马岭关岩组和斑鸠关组水稻籽实样品中的硒含量明显高于其他地层水稻籽实样品中硒的含量,马岭关岩组和斑鸠关组的地层包括黑色炭质板岩和黑色含硅炭板岩,岩石含硒丰富。而耀岭河组和陡山沟组主要岩性为砂岩、粉砂岩,含硒量低,水稻籽实样品中硒的含量都略低于其他组样品,这说明母岩中硒的含量是土壤和植物中硒的主要来源,其决定了进入植物中硒的含量。
|
图 6 研究区水稻籽实硒平均含量与对应地层关系图 Fig. 6 Characteristics of selenium content incropsbetweenthe corresponding stratas |
水稻从土壤中吸收、富集硒元素,因此可以用富集系数来反映水稻对土壤中硒元素的吸收富集能力的强弱及其生物有效性,计算公式如下:
|
(1) |
其中,BCFSe表示硒元素的富集系数;Secrop为水稻籽实的硒含量,单位为mg/kg,Sesoil为水稻根系土的全硒含量,单位为mg/kg,将水稻籽实中的硒含量与水稻根系土壤中全硒的含量之比表示其富集硒元素的能力高低。
对采集的所有水稻籽实样品及其根系土进行分析,根据公式(1),可得研究区水稻籽实对硒的平均富集系数为11.5%,最高值为24.6%,最低值为4.8%。
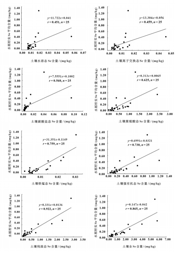
3.4 水稻籽实中硒含量的影响因素 3.4.1 土壤中硒的形态对Secrop的影响将土壤中各形态硒的含量与水稻籽实中硒的含量作相关性分析,得其结果如图 7,可以明显地看出水稻籽实中硒与土壤中各形态的硒含量的相关性关系。
|
图 7 水稻籽实硒的含量与土壤硒形态散点图 Fig. 7 Relationship between Se content in rice seeds and Se forms in soil |
由图 7可得,在p<0.05时,水稻籽实中的硒与土壤中水溶态和离子交换态的硒存在显著的正相关关系;当p<0.01时,水稻籽实中的硒与碳酸盐态和腐殖酸态的硒也存在显著的正相关关系;当p=0.00时,水稻籽实中的硒与铁锰态、强有机态和残渣态这三种形态的土壤根系土中的硒的相关性极显著,尤其是残渣态硒的皮尔逊系数达到0.922,呈现极显著相关性,这与水稻根系土样品中全量硒和各形态硒的相关性分析所得出的结果类似。
由图 3可以看出,虽然腐殖酸态、强有机态和残渣态的硒占了总硒含量的绝大部分,但是只占土壤总硒含量1.25%的水溶态硒、0.91%的离子交换态硒、0.82%的铁锰态硒以及0.84%碳酸盐态的硒也和水稻中的硒具有明显的相关性,这说明土壤中供给并进入水稻籽实中硒与水溶态、离子交换态以及强有机态形态的硒也具有一定联系。这种结果可能与作物对养分的吸收和硒在土壤中的形态转化息息相关:研究区的土壤有机质含量较高,而土壤有机质具有吸附Se的作用,使Se在土壤中与其结合形成螯合物,抑制水稻对Se的吸收,因此,土壤中有机态硒的含量与水稻籽实中硒的含量密切相关;水稻的生长需要大量的水分,水稻吸收养分的主要形态为溶解于水中的离子态和离子交换态,而腐殖酸态的硒易发生矿化作用转化为无机态的六价硒和四价硒盐,只有当这些六价硒和四价硒再次进入水溶液,形成水溶态的硒后,才能更容易被水稻根部吸收,运输到水稻的其他部分,以促进水稻的生长发育。这为控制当地土壤硒的含量提供了思路,通过在稻田中施用有机生物质,可以将土壤中腐殖酸态硒的含量提高,进而补充土壤中的有效态硒含量,提高水稻籽实中硒的含量;如果水稻籽实中的硒含量过高,则在种植施肥过程中要注意减少含硒有机生物质肥的施用。
然而,在植物对土壤中不同形态的硒元素进行吸收、迁移、富集过程中,不仅是单种形态的硒起到了有效态的作用,这往往是不同形态的硒共同作用的结果。有学者提出,可以用土壤中元素的活性,即生物可利用性和迁移能力来描述土壤中元素的有效性,前者可通过可利用性系数K来描述(Noll, 2002):
|
(2) |
而后者,针对硒的迁移能力强弱,可通过迁移系数M来表述(Maiz et al., 2000; Pueyo et al., 2004):
|
(3) |
式(2)和(3)中,F1:水溶态;F2:离子交换态;F3:碳酸盐态;F4:腐殖酸态;F5:铁锰态;F6:强有机态;F7:残渣态。
将研究区所有样本的可利用系数K与迁移系数M与水稻籽实中硒的含量Secrop和进行相关性分析,发现Secrop与可利用系数K(r=0.521, p<0.01)和迁移系数M(r=0.867, p<0.01)都存在显著的正相关性,可利用系数K和迁移系数M(r=0.872, p<0.01)之间也存在者显著的正相关性。
在土壤中不同形态硒向水稻迁移转化的过程中,腐殖酸态的硒易发生矿化作用进而转化为水溶态的硒,而水溶态的硒与周围的环境达到了溶解平衡的状态,被水稻根部吸收后运输到其他部分;而残渣态一般作为储备硒,难以被水稻直接吸收,既难以迁移,可利用性也不高,在土壤中以较为稳定的形式存在,会随着风化而逐步释放出来(Chang et al., 2019),因此水溶态、离子交换态和碳酸盐态硒在土壤中的硒向水稻籽实迁移转化过程中起到重要作用,硒的迁移能力越强,可利用性越强。
3.4.2 土壤理化性质对Secrop的影响土壤的理化性质SOM、pH和养分含量等也会影响土壤中有效硒的含量,进而影响水稻籽实中硒的含量。有研究表明土壤中Se的含量与有机质等土壤理化性质之间存在着明显的正相关关系,而与pH之间存在负相关关系(Shao et al., 2018)。分析土壤理化性质、养分含量对Secrop的影响,可进一步解释土壤有效硒对水稻籽实硒含量变化的原因,对调节土壤硒的生物有效性具有重要意义。
Secrop与SOM含量(r=0.595,p<0.01)显著正相关,而土壤中有机质含量和土壤中强有机态的硒含量也呈现出正相关性(r=0.45,p<0.05),土壤中有机态的硒含量随着SOM的含量增加而增加。有研究表明,土壤中有机质在自身的分解过程中,不仅将已结合的部分硒释放出来,在其腐解过程中产生的中间产物也将促进硒的活化(唐玉霞等,2010)。此外,土壤中的有机质也会形成有机-无机缔合物吸附土壤中的阴离子,进而吸附无机硒,促进水稻对硒的富集。因此,土壤有机质一方面通过影响强有机态的硒含量,另一方面通过吸附无机硒,影响进入植物体的有效态硒的含量。
有研究表明,当土壤中pH偏高时,土壤中与金属氧化物和有机质结合的硒容易被氧化为可溶性的硒酸盐,溶解度升高而不易被金属氧化物所固定,是植物吸收硒的主要来源(陈显著等,2016),这说明pH偏高时可能会增强硒的活性,提高土壤中有效硒的含量。但是,土壤的pH过高也会影响酶的活性,抑制水稻的生长;也会影响水稻对土壤中其他营养物质的吸收(孙朝等,2010)。因此,可以通过施加不同的化肥、石灰等合理调节土壤的pH,提高土壤中有效态硒的含量,进而提高水稻籽实硒含量(吴俊,2018)。
研究区Secrop与土壤全硫含量(r=0.680,p<0.01)显著正相关,进一步分析显示,土壤全硫含量与强有机态硒(r=0.540,p<0.005)显著正相关。这是因为硒元素是一种典型的亲硫元素,二者的化学性质相似,土壤中的硫化物易与土壤中的硒结合生成硒酸盐,再通过硫酸盐的转运,将土壤中的硒转运至水稻体内(吴俊,2018)。
由此可见,土壤的理化性质和养分可通过影响土壤中不同形态硒的含量,间接影响土壤中硒的生物有效性,进而影响水稻籽实中硒的含量。
4 结论(1)安康西部稻田根系土壤中Se元素的含量平均值为1.60 mg/kg,远高于陕西省硒的土壤背景值和全国的硒土壤背景值;研究区水稻籽实中硒的含量大于全国平均水平,符合国家富硒水稻标准;土壤养分条件优良,建议当地大力开发富硒土地资源,推广富硒水稻的种植。
(2)研究区稻田根系土壤中各形态硒的含量特征表现为:平均含量由高到低为腐殖酸态、强有机结合态、残渣态、水溶态、离子交换态、碳酸盐结合态和铁锰氧化态硒。土壤中腐殖酸态、强有机结合态和残渣态的硒均占总硒含量20%以上,水溶态、离子交换态、碳酸盐结合态和铁锰氧化态硒,占总硒含量的比例均低于5%。
(3)水稻籽实中的硒含量与土壤中硒的形态显著相关,土壤理化性质、养分等可通过影响土壤中硒的形态进而影响水稻对硒的吸收。
Banuelos G S, Arroyo I, Pickering I J, Yang S I, Freeman J L. 2015. Selenium biofortification of broccoli and carrots grown in soil amended with Se-enriched hyperaccumulator Stanleya pinnata[J]. Food Chemistry, 166(1): 603-608. |
Chang C, Yin R, Wang X, Shao S, Chen C, Zhang H. 2019. Selenium translocation in the soil-rice system in the Enshi seleniferous area, Central China[J]. Science of the Total Environment, 669(15): 83-90. |
Chen Xianjian, Li Haohao. 2016. Study on the distribution of soil selenium content in Guangzhou and its influencing factors[J]. Fujian Journal of Agricultural Sciences, 31(4): 401-407 (in Chinese with English abstract). |
China Geological Survey. 2005. Technical Requirements for Sample Analysis for Ecological Geochemical Evaluation (DD2005-03) [S]. Beijing: China Standard Press, 5-11 (in Chinese).
|
Dinh Quang Toan, Cui Zewei, Huang Jie, Thi Anh Thu, Wang Dan, Yang Wenxiao, Zhou Fei, Wang Mengke, Yu Dasong, Liang Dongli. 2018. Selenium distribution in the Chinese environment and its relationship with human health: A review[J]. Environment International, 112(3): 294-309. |
Guo Yu, Bao Zhengyu, Ma Zhenzhen, Li Hui, Wei Changhua, Yan Sen. 2012. Geochemical characteristics of Se in soil-plant system in Enshi area, Hubei[J]. Geological Bulletin of China, 31(1): 151-155 (in Chinese with English abstract). |
Huang Taiqing, Jiang Zepu, Xing Ying, Liao Qing, Liang Panxia, Liu Yongxian. 2017. Study on the absorption and utilization of exogenous selenium in rice[J]. Journal of Agricultural Resources and Environment, 34(5): 449-455 (in Chinese with English abstract). |
Jia M, Zhang Y, Huang B, Zhang H. 2019. Source apportionment of selenium and influence factors on its bioavailability in intensively managed greenhouse soil: A case study in the east bank of the Dianchi Lake, China[J]. Ecotoxicology and Environmental Safety, 170(4): 238-245. |
Jones G D, Droz B, Greve P, Gottschalk P, Poffet D, Mcgrath S P, Seneviratne S I, Smith P, Winkel L. 2017. Selenium deficiency risk predicted to increase under future climate change[J]. Proceedings of the National Academy of Sciences of the United States of America, 114(11): 2848-2853. DOI:10.1073/pnas.1611576114 |
Kikkert J, Berkelaar E. 2013. Plant uptake and translocation of inorganic and organic forms of selenium[J]. Archives of Environmental Contamination & Toxicology, 65(3): 458-465. |
Li Z, Zeng H, Cheng W H. 2018. Beneficial and paradoxical roles of selenium at nutritional levels of intake in healthspan and longevity[J]. Free Radical Biology and Medicine, 127: 3-13. DOI:10.1016/j.freeradbiomed.2018.05.067 |
Liao Qilin, Ren Jinghua, Xu Weiwei, Cui Xiaodan, Jin Yang, Li Wenbo, Fan Jian, Zhu Bowan. 2016. Geological and geochemical background of selenium-enriched rice producing area in Yili, Jiangsu[J]. Geology in China, 43(5): 1791-1802 (in Chinese with English abstract). |
Luo Kunli, Jiang Jisheng. 1995. Selenium content and its enrichment law in the Lower Cambrian strata of Ziyang and Langao, Shaanxi[J]. Earth and Environment, (1): 68-71 (in Chinese). |
Maiz I, Arambarri I, Garcia R, Millán E. 2000. Evaluation of heavy metal availability in polluted soils by two sequential extraction procedures using factor analysis[J]. Environmental Pollution, 110(1): 3-9. DOI:10.1016/S0269-7491(99)00287-0 |
Mao J, Pop V J, Bath S C, Vader H L, Redman C, Rayman M P. 2014. Effect of low-dose selenium on thyroid autoimmunity and thyroid function in UK pregnant women with mild-to-moderate iodine deficiency[J]. European Journal of Nutrition, 55(1): 55-61. |
Ministry of Land and Resources of the People's Republic of China. 2016. Standard for Geochemical Evaluation of Land Quality (DZ/T 0295-2016) [S]. Beijing: Geological Publishing House, 6-13 (in Chinese).
|
Moreda-Piñeiro J, Moreda-Piñeiro A, Bermejo-Barrera P. 2017. In vivo and in vitro testing for selenium and selenium compounds bioavailability assessment in foodstuff[J]. C R C Critical Reviews in Food Technology, 57(4): 805-833. DOI:10.1080/10408398.2014.934437 |
Noll M R. 2002. Trace Elements in Terrestrial Environments[J]. Journal of Environment Quality, 32(1): 372-374. |
Peng Q, Li J, Wang D, Wei T J, Chen C E L, Liang D L. 2019. Effects of ageing on bioavailability of selenium in soils assessed by diffusive gradients in thin-films and sequential extraction[J]. Plant and Soil, 436(1): 159-171. |
Pueyo M, López-Sánchez J F, Rauret G. 2004. Assessment of CaCl2, NaNO3 and NH4NO3 extraction procedures for the study of Cd, Cu, Pb and Zn extractability in contaminated soils[J]. Analytica Chimica Acta, 504(2): 217-226. DOI:10.1016/j.aca.2003.10.047 |
Qin Haibo, Zhu Jianming, Lin Zhiqing, Xu Wenpo, Tan Decan, Zheng Lirong, Takahashi Yoshio. 2017. Selenium speciation in seleniferous agricultural soils under different cropping systems using sequential extraction and X-ray absorption spectroscopy[J]. Environmental Pollution, 225: 361-369. DOI:10.1016/j.envpol.2017.02.062 |
Rohn I, Marschall T A, Kroepfl N, Jensen K B, Aschner M, Tuck S, Kuehnelt D, Schwerdtle T, Bornhorst J. 2018. Selenium species-dependent toxicity, bioavailability and metabolic transformations in Caenorhabditis elegans[J]. Metallomics, 10(6): 818-827. DOI:10.1039/C8MT00066B |
Saeedeh P, Hossein M, Soheyla H, Iraj K. 2018. Biological synthesis of selenium nanoparticles and evaluation of their bioavailability[J]. Brazilian Archives of Biology and Technology: 60-62. |
Shao Y, Cai C, Zhang H, Wei F, Shen T. 2018. Controlling factors of soil selenium distribution in a watershed in Se-enriched and longevity region of South China[J]. Environmental Science and Pollution Research, 25(20): 20048-20056. DOI:10.1007/s11356-018-2091-2 |
Shi Z, Pan P, Feng Y, Kan Z, Li Z, Wei F. 2017. Environmental water chemistry and possible correlation with Kaschin-Beck Disease (KBD) in northwestern Sichuan, China[J]. Environment International, 99: 282-292. DOI:10.1016/j.envint.2016.12.006 |
Sun Chao, Hou Qingye, Yang Zhongfang, Yang Xiaoyan, Huang Yong, Chen Enke. 2010. Study on the factors affecting the migration and transformation of selenium in typical soil environments: A case study of Chengdu Economic Zone in Sichuan Province[J]. Geology in China, 37(6): 1760-1768 (in Chinese with English abstract). |
Supriatin S, Weng L, Comans R. 2015. Selenium speciation and extractability in Dutch agricultural soils[J]. Science of the Total Environment, 532(1): 368-382. |
Tang Yuxia, Wang Huimin, Liu Qiaoling, Lü Yinghua, Meng Chunxiang. 2010. Study on the content, form and availability of selenium in wheat field soil in Hebei Province[J]. Acta Agriculturae Boreali-Sinica, 25(00z): 194-197 (in Chinese with English abstract). |
Wang S, Liang D, Wang D, Wei W, Fu D, Lin Z. 2012. Selenium fractionation and speciation in agriculture soils and accumulation in corn (Zea mays L.) under field conditions in Shaanxi Province, China[J]. Science of the Total Environment, 427: 159-164. |
Wang Xiao, Zhang Zhen, Zhu Jiang, Song He, Dong Zhaorong. 2019. Study on the correlation between selenium forms in selenium-enriched soil and rice-enriched selenium in Qingyang County[J]. Earth and Environment, 47(3): 9-13 (in Chinese with English abstract). |
Wen Bangyong, Zhang Taoliang, Li Xizhou, Xie Zhendong. 2014. Feasibility study on development of selenium-rich soil resources in Longnan area, Jiangxi[J]. Geology in China, 41(1): 256-263 (in Chinese with English abstract). |
Wu Jun. 2018. Soil Se distribution characteristics and influencing factors in Shouning County, Fujian Province[J]. Geology in China, 45(6): 1167-1176 (in Chinese with English abstract). |
Xiao K, Tang J, Chen H, Li D, Liu Y. 2020. Impact of land use/land cover change on the topsoil selenium concentration and its potential bioavailability in a karst area of southwest China[J]. Science of The Total Environment, 708: 135-201. |
Xu Yongxin. 2012. Occurrence State and Chemical Activity of Selenium in Selenium-rich Rock Formations in Ziyang, Shaanxi and Enshi, Hubei[D]. University of Chinese Academy of Sciences, 19-23 (in Chinese with English abstract).
|
Yang Kui, Li Xiangling, Zhang Jingya, Zhang Lingxi, Shang Shigui, Zhang Qianming, Wang Yanming. 2018. Selenium bioavailability and its influencing factors in potentially Se-enriched soils in Lujiang, Anhui[J]. Research of Environmental Sciences, 31(4): 715-724 (in Chinese with English abstract). |
Yoshida S, I Wa Taka M, Fuchigami T, Haratake M, Nakayama M. 2018. In vitro assessment of bioavailability of selenium in Niboshi processed from Japanese anchovy[J]. Food Chemistry, 269: 436-441. DOI:10.1016/j.foodchem.2018.07.033 |
Yu Tao, Yang Zhongfang, Wang Rui, Zeng Qingliang, Hou Wanling. 2018. Characteristic and source analysis of soil selenium and other elements in typical selenium-enriched areas in Enshi[J]. Soils, 50(6): 63-69 (in Chinese with English abstract). |
陈显著, 李就好. 2016. 广州市土壤硒含量的分布及其影响因素研究[J]. 福建农业学报, 31(4): 401-407. |
郭宇, 鲍征宇, 马真真, 李慧, 魏昌华, 严森. 2012. 湖北恩施地区土壤-植物系统中Se元素的地球化学特征[J]. 地质通报, 31(1): 151-155. DOI:10.3969/j.issn.1671-2552.2012.01.019 |
黄太庆, 江泽普, 邢颖, 廖青, 梁潘霞, 刘永贤. 2017. 水稻对外源硒的吸收利用研究[J]. 农业资源与环境学报, 34(5): 449-455. |
廖启林, 任静华, 许伟伟, 崔晓丹, 金洋, 李文博, 范健, 朱伯万. 2016. 江苏宜溧富硒稻米产区地质地球化学背景[J]. 中国地质, 43(5): 1791-1802. |
雒昆利, 姜继圣. 1995. 陕西紫阳, 岚皋下寒武统地层的硒含量及其富集规律[J]. 地质地球化学, (1): 68-71. |
孙朝, 侯青叶, 杨忠芳, 杨晓燕, 黄勇, 陈恩科. 2010. 典型土壤环境中硒的迁移转化影响因素研究——以四川省成都经济区为例[J]. 中国地质, 37(6): 1760-1768. DOI:10.3969/j.issn.1000-3657.2010.06.023 |
唐玉霞, 王慧敏, 刘巧玲, 吕英华, 孟春香. 2010. 河北省麦田土壤硒的含量、形态及其有效性研究[J]. 华北农学报, 25(00z): 194-197. |
王潇, 张震, 朱江, 宋贺, 董召荣. 2019. 青阳县富硒土壤中硒的形态与水稻富硒的相关性研究[J]. 地球与环境, 47(3): 9-13. |
文帮勇, 张涛亮, 李西周, 谢振东. 2014. 江西龙南地区富硒土壤资源开发可行性研究[J]. 中国地质, 41(1): 256-263. DOI:10.3969/j.issn.1000-3657.2014.01.021 |
吴俊. 2018. 福建省寿宁县土壤硒分布特征及影响因素[J]. 中国地质, 45(6): 1167-1176. |
徐永新. 2012. 陕西紫阳和湖北恩施富硒岩层中硒的赋存状态及化学活动性研究[D]. 中国科学院研究生院, 19-23.
|
杨奎, 李湘凌, 张敬雅, 章凌曦, 尚世贵, 张千明, 王延明. 2018. 安徽庐江潜在富硒土壤硒生物有效性及其影响因素[J]. 环境科学研究, 31(4): 715-724. |
余涛, 杨忠芳, 王锐, 曾庆良, 侯宛苓. 2018. 恩施典型富硒区土壤硒与其他元素组合特征及来源分析[J]. 土壤, 50(6): 63-69. DOI:10.3969/j.issn.1673-3908.2018.06.013 |
中国地质调查局. 2005. 生态地球化学评价样品分析技术要求(DD2005-03)[S]. 北京: 中国标准出版社, 5-11.
|
中华人民共和国国土资源部. 2016. 土地质量地球化学评价规范(DZ/T 0295-2016)[S]. 北京: 中国地质出版社, 6-13.
|


